Volume 508 - QCD at the Extremes (QCDEX2025) - Session: Parton Densities and TMDs at low scales, including saturation and recombination.
Neutron star as a signal for quark-gluon plasma formation
A. Khatri* and S.S. Singh
*: corresponding author
Pre-published on: November 19, 2025
Published on:
Abstract
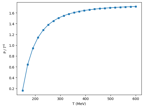
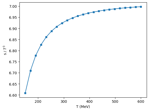
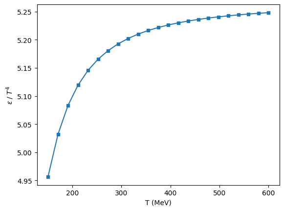
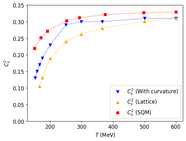
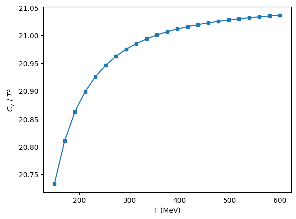
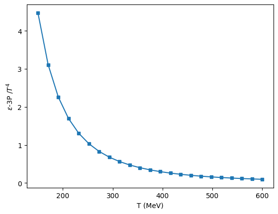
Studying neutron stars can help us understand the early formation of the universe. To understand and describe neutron stars, an appropriate equation of state that satisfies bulk nuclear matter properties is necessary. This study explores the quark matter equation of state by applying the Density Dependent Quark Mass model which is an extension of the MIT Bag model. The equation of state such as pressure, energy density, entropy, specific heat and speed of sound are calculated for a range of temperatures. The model results provide QGP equation of state, and the velocity of sound is shown in comparison to the Lattice QCD result.
DOI: https://doi.org/10.22323/1.508.0019
How to cite

Metadata are provided both in article format (very similar to INSPIRE) as this helps creating very compact bibliographies which can be beneficial to authors and readers, and in proceeding format which is more detailed and complete.

Open Access
Creative Commons LicenseCopyright owned by the author(s) under the term of the Creative Commons Attribution-NonCommercial-NoDerivatives 4.0 International License.