In this paper, we study the phenomenology of the charm and beauty content of the proton within
the ππ‘ -factorization formalism, using the integral version of the Kimber-Martin-Ryskin (πΎππ
)
and Martin-Ryskin-Watt (ππ
π) unintegrated parton distribution functions (πππ·πΉ) together
with the angular ordering constraint (π΄ππΆ). For this purpose, the reduced beauty cross section
ππΒ―
π
red (π₯,π2) and the charm and beauty structure functions πΉππΒ―
2 (π₯,π2) (π = π, π) are calculated by
the ππ‘ -factorization formalism using πΎππ
and ππ
π approaches and the πππ»π2014-ππ·πΉ set
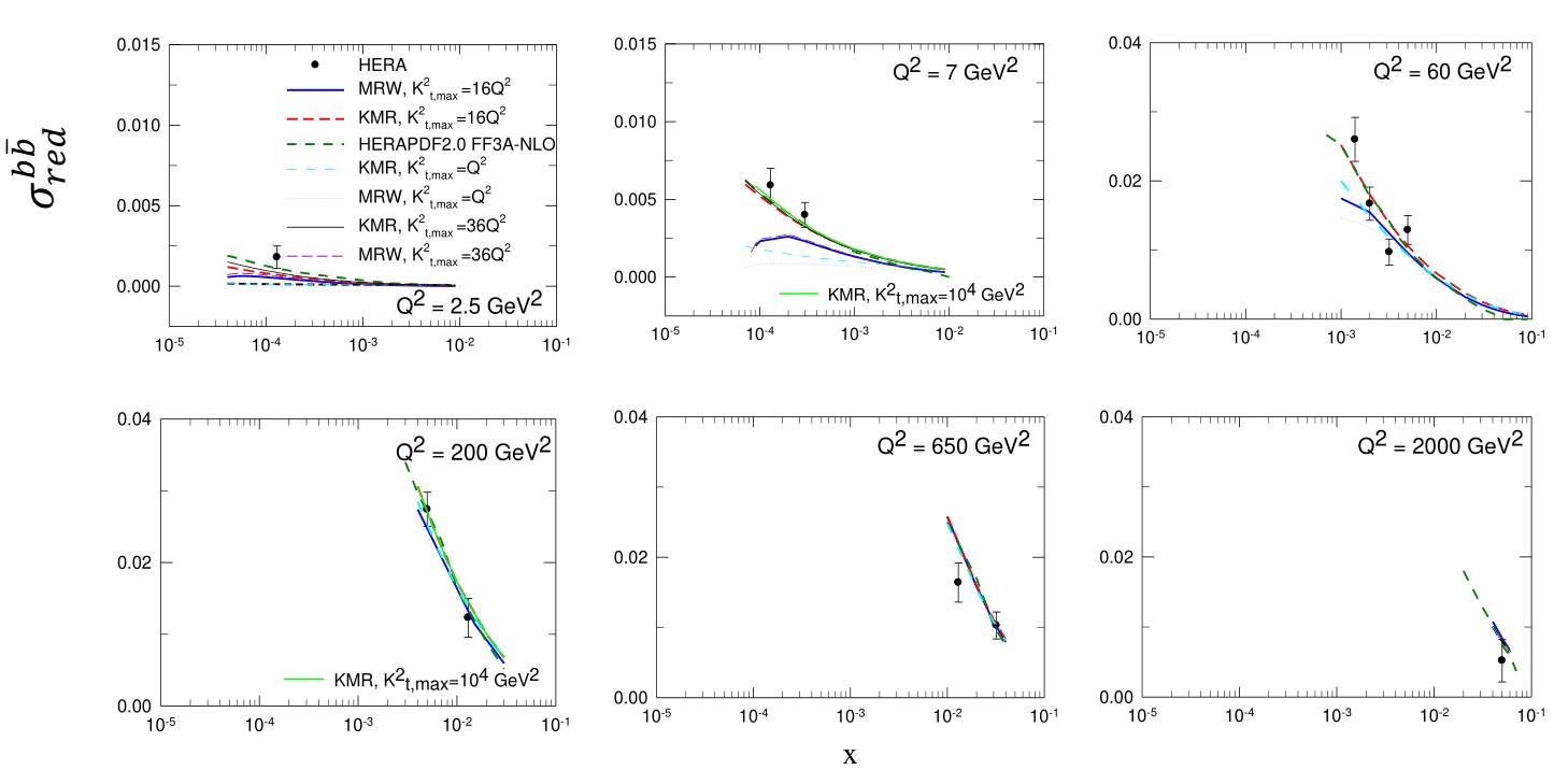
as input. Recently, Guiot and van Hameren demonstrated that the upper limit πmax of the transverse momentum
integration in the ππ‘ -factorization formalism should be approximately equal to π, the
hard scale, to avoid overestimating the proton structure function. In the present work, we show
that this condition (πmax = π) is not valid in the low and moderate energy regions. Furthermore,
by considering both gluon and quark contributions at the same perturbative order and employing a
physical gauge for the gluon, i.e., π΄ππβ²
π = 0, in the calculation of πΉππΒ―
2 within the ππ‘ -factorization
formalism, we do not encounter any overestimation of the theoretical predictions for different
choices of πmax > π. Finally, the computed values of the reduced beauty cross section, ππΒ―πred ,
and the charm and beauty structure functions, πΉππΒ―2 , are compared with the experimental data of the ππΈππ and π»1 collaborations in π»πΈπ
π΄ and theoretical predictions. In general, the results
obtained from both the πΎππ
and ππ
π methods are in perfect agreement with the experimental
and theoretical predictions, especially at high energies, but the πΎππ
framework is better consistent
with the experimental data and theoretical predictions than the ππ
π framework at the low and
moderate energies.

